三点式LC振荡电路
三点式振荡电路是指三极管的三个极(对于交流信号)分别与LC谐振回路的三个端点直接相接的振荡电路。这种电路的一般结构如图Z0804所示。图中X表示组成谐振回路各元件的电抗。

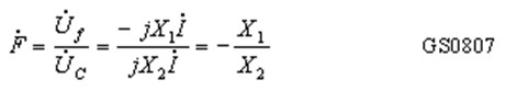
谐振回路是由电感和电容两种不同性质的电抗元件组感的,谐振时,其等效阻抗呈纯电阻性,因此总电抗必然为零,即X1 + X2 + X3 = 0,而且,共射放大电路的输出电压 (图中为UC)与输入电压 (图中为Ub)反相,即φA =π。为了满足振荡的相位平衡条件,即φA + φF = 2nπ,则要求φF =π,即反馈网络必须有180°的相移。设回路电流为 ,由图I0817可以得到

显然,只有X1与X2同号时才能满足φF =π,也就是说,X1与X2只有电抗性质相同时(同为电感或同为电容),才满足相位平衡条件。又因为X1 + X2 + X3 = 0,所以X3与X1、X2性质必须相反,即若X1、X2为电感,则X3必须是电容。
综上所述,构成三点式振荡电路的原则是X1与X2性质相同,而X3则与它们的性质相反。可概括为"射同基(集)反"即与射极相连的两个电抗元件的性质相同,与基极(或集电极)相连的两个电抗元件的性质相反。用这一原则,可以迅速判断出三点式振荡电路是否满足振荡的相位平衡条件。
本文链接:http://www.028lyzs.com/xuexi/dianzi/201711/13701.html
本站内容如无特别说明,均来自网络和网友投稿!如侵犯了您的权利,请联系我们删除。
本站内容如无特别说明,均来自网络和网友投稿!如侵犯了您的权利,请联系我们删除。
- 上一篇:电感三点式振荡电路
- 下一篇:正弦波振荡电路的组成