一、基本特性
石英晶体具有"压电效应",即在晶片两面加上电场,晶片就会产生形变。相反,若在晶片上施加机械压力,则在晶片的相应方向上会产生一定的电场。因此,当晶片的两极加上交变电压时,晶片就会产生机械振动,同时晶片的机械振动又会产生交变电场。若从外电路来看,这就相当于有一交变电流通过晶片。在一般情况下,晶体机械振动的振幅是非常微小的,只有在外加交变电压的频率等于晶片的固有振荡频率时,振动的振幅和交变电流才突然增至最大,这种现象称为压电谐振,因此,石英晶体又称为石英谐振器。

二、等效电路
石英晶体谐振器的符号和等效电路如图Z0813(a)、(b)所示。当晶体不振动时,它相当于一个平行板电容C0,称为静态电容,其值仅与晶片的尺寸有关,一般约为几pF到几十pF。当晶片振动时,其等效电路应包含等效电感Lg、等效电容Cg和晶片振动时摩擦损耗的等效电阻Rg,它们的值分别为Lg ≈1O-3~102H、Cg ≈10-4~10-1pF、Rg~102Ω。由于晶片的Lg 很大,Cg、Rg,都很小,故Q=ωLg /Rg 值极高,可达104~106,比一般LC回路Q值超出2~4个数量级。此外,由于它本身的固有振动频率很稳定,所以用它做成的振荡器,可获得很高的频率稳定度。
从石英谐振器的等效电路可知,它有两个谐振频率,一个是串联谐振频率fS,它是Lg、Cg、Rg 支路谐振时的频率。即:

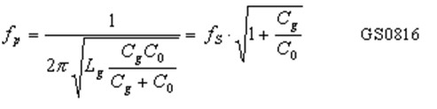
另一个是并联谐振频率fp,它是等效电路的谐振频率。即:

由于Cg ,所以两个频率非常接近。
从石英谐振器的等效电路可以求出它的电抗频率特性,如图Z0814所示。在fS与fp 之间,呈电感性,在此区域以外,呈电容性。
本文链接:http://www.028lyzs.com/xuexi/dianzi/201711/13698.html
本站内容如无特别说明,均来自网络和网友投稿!如侵犯了您的权利,请联系我们删除。
本站内容如无特别说明,均来自网络和网友投稿!如侵犯了您的权利,请联系我们删除。
- 上一篇:调制、解调和变频-调制方式
- 下一篇:电容三点式振荡电路