图Z1005为一LC并联谐振回路,其中R为线圈的损耗电阻。该回路的阻抗

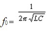
该回路的谐振频率为

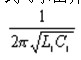
并联谐振回路的特点是,谐振时回路阻抗最大且为纯电阻,即Z0=R0=
;谐振阻抗为感抗或容抗的Q倍,
即Z0=Qω0L=Q ∕ω0C。
式中 Q=

一般Q远大于1。
当电流一定时,电感或电容两端的电压最大,若偏离谐振频率,回路阻抗及电压将明显减小。
1.回路电压的幅频特性
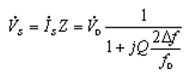
在谐振频率附近,ωL>>R,f+f0≈2f,式GS1007可整理成

回路电压

电压幅频特性:

其表达式和特性曲线与串联回路相同。
2.回路通频带和选择性
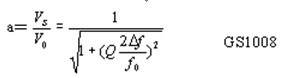
由GS1008式可求出并联回路的通频带
B=2Δf=

Q愈大,通频带愈窄;Q愈小,通频带愈宽。
与串联回路选择性分析一致,并联回路谐振曲线的矩形系数Kr=9.96,即选择性也较差,但这种电路结构简单,调试方便,常用于接收机的中频放大电路之中。
本文链接:http://www.028lyzs.com/xuexi/dianzi/201711/13690.html
本站内容如无特别说明,均来自网络和网友投稿!如侵犯了您的权利,请联系我们删除。
本站内容如无特别说明,均来自网络和网友投稿!如侵犯了您的权利,请联系我们删除。
- 上一篇:关于数字电路中的“数字”
- 下一篇:超外差收音机性能指标